lundi 29 novembre 2021

Đặng Sơn Duân - Biến thể họ Tập


Tên các biến thể vi rút được WHO đặt theo bảng chữ cái Hy Lạp, với các biến thể gần đây là Lambda và Mu. Thế nhưng, biến thể mới nhất lại được đặt là Omicron, bỏ qua hai chữ Nu và Xi.

Hiện có nghi ngờ vì sao Xi lại bị bỏ qua. Có phải do nó giống với họ Xi của Tập Cận Bình? Liệu có phải bỏ qua mỗi mình Xi thì lộ quá nên người ta mới bỏ qua cả Nu?

Nghe bảo anh WHO biện bạch rằng phải bỏ qua biến thể "Xi" vì đó là họ thông dụng. Chính sách là không muốn xúc phạm văn hóa, sắc tộc... blah blah...

Nguyễn Thông - Dân như vậy thì chả trông mong được gì

 

- Có những người trông mặt mũi cũng tử tế hiền lành, ăn mặc chỉn chu, đeo cả quân hàm quân hiệu. Lên mạng, lên mặt báo chê rằng dân ta lắm chuyện, cứ hay nâng chuyện nhỏ lên thành quan điểm, làm to chuyện.

Cái cô thi hoa hậu tại Mỹ nó chơi đàn bài "Cô gái vót chông" thì kệ nó, người Mỹ biết quái gì về lời hát, họ chỉ nghe âm thanh thôi, sao ta cứ phải bới ra.

Lời bàn: Đúng là người Mỹ hầu hết không biết nội dung bài hát về chông chỉa ấy, nhưng chỉ cần một người biết mà lên tiếng thì cũng xong om. Và quan trọng là sự vô cảm, vô ý thức, vô ơn, thiếu văn hóa của đám chuẩn bị cho cô thí sinh hoa hậu, thậm chí của cả lãnh đạo bộ văn hóa. Không thể nói họ không biết.

Nguyễn Văn Tuấn - Tasteless

 

Phải tìm hiểu một lúc tôi mới biết tại sao người ta bàn tán việc cô hoa hậu ĐTH đánh đàn T'rưng bài « Cô gái vót chông » ở Mỹ, trong lúc Mỹ tài trợ cho Việt Nam hơn 25 triều liều vaccin. Các bạn có thể nghĩ ra một chữ tiếng Anh để mô tả hành vi của cô ấy? Tôi nghĩ chữ 'tasteless' có lẽ là thích hợp nhứt.

Tasteless có nghĩa là vô vị, nhưng tôi nghĩ hiểu theo nghĩa 'nhạt nhẽo' thì đúng với văn cảnh hơn. Một danh từ khác liên quan với tasteless là vulgar, có thể hiểu là vụng về. Hành vi của cô ĐTH có thể xem là nhạt nhẽo và vụng về về văn hóa.

Dĩ nhiên, nhạt nhẽo và vụng về ở đây không phải là cách cô ấy chơi đàn, mà xem ra có người khen là cô ấy đã luyện tập khá lâu. Nói cách khác, cô ấy chơi đàn chỉ là một cách trình diễn thôi, chớ không phải thực tài hay sở trường của cô ấy.

« Cô gái vót chông » : Phá hoại hay ma nhập ?

 

Ngô Nguyệt Hữu : Phá hoại hay ma nhập ?

Ai cũng phải khép lại hận thù hướng đến tương lai, nhất là trong bối cảnh loạn ly dịch giã.

Họ quá khứ sao mình vẫn nhớ, nhưng để hướng đến mối quan hệ chân thành, cần phải biết thời điểm nhắc chuyện xưa. Họ cho mình từ vaccin đến tiền hỗ trợ mình qua cơn nguy biến.

Mình lên sâu khấu đòi vót chông xiên họ.

Nguyễn Ngọc Chu - Đồng hóa văn hóa bằng phim ảnh trên truyền hình

 

“Tôi muốn cưỡi cơn gió mạnh, đạp luồng sóng dữ, chém cá Kình ở Biển Đông, đánh đuổi quân Ngô, giành lại giang sơn, cởi ách nô lệ chứ không chịu khom lưng làm tì thiếp người ta”.

Triệu Thị Trinh (225-248)

ĐỒNG HÓA VĂN HÓA BẰNG PHIM ẢNH TRÊN TRUYỀN HÌNH

Ngày 24/11/2021, Bộ Chính trị, Ban Bí thư Trung ương Đảng đã tổ chức Hội nghị Văn hóa toàn quốc triển khai thực hiện Nghị quyết Đại hội XIII theo hình thức trực tuyến.

Mạc Văn Trang - Kiến nghị một biện pháp giáo dục góp phần góp phần « khai phóng »

 

Ý tưởng này nảy ra khi nhà giáo Thái Hạo cho biết, tình cờ thấy “một cô bé lớp 3 có ba mẹ là lao động chân tay, chứ không phải trí thức văn nghệ sĩ gì” vẽ bức tranh “lạ".

Và nhà giáo viết: “Tôi cũng không phải dân hội họa, không sành về tranh nhưng bằng cảm nhận thuần túy trực giác tôi thấy bức tranh có hồn và đẹp. Tôi nghĩ về giáo dục Việt Nam, đứa bé này có thể tiếp tục theo đuổi đam mê của nó với một núi bài tập, với môn chính môn phụ, với thi cử thành tích…?”

Từ những năm 1980, nhiều người đã phê phán nền giáo dục “xã hội chủ nghĩa" mang tính áp đặt, “đúc khuôn", “bình quân về nhân cách"... Nền giáo dục đó đặt ra mục tiêu cho mẫu con người mới xã hội chủ nghĩa, rèn luyện từ Tiểu học trở đi theo khuôn khổ quy định và quy trình được thiết kế để đạt tới mục tiêu đã định.

Lê Huyền Ái Mỹ - Mức thiệt hại có giá 2.150 đồng!

 

Bà Nguyễn Thị Kim Truyện ở xã Tam Vinh, huyện Phú Ninh, tỉnh Quảng Nam được nhận hỗ trợ 2.000 đồng đền bù thiệt hại trong đợt mưa bão vào năm 2020.

Theo quy định, đối với diện tích cây công nghiệp và cây ăn quả lâu năm bị thiệt hại dưới 70% thì hỗ trợ 4 triệu đồng/ha. Như vậy, mức hỗ trợ đối với bà Truyện là 4.000 đồng/10 m2. Huyện cấp kinh phí mức hỗ trợ 53% nên bà Truyện nhận được số tiền là 2.150 đồng.

Toàn xã Tam Vinh có 588 trường hợp được hỗ trợ thiệt hại về cây trồng, trong đó có 31 trường hợp được hỗ trợ dưới 10.000 đồng.

Chương trình phát thanh RFI ngày 29.11.2021

dimanche 28 novembre 2021

Lê Học Lãnh Vân - Lan man về văn hóa

Lâu rồi, trên nửa thế kỷ lận, tụi tui học Anh văn với một ông Thầy lo cho học trò mà khó tánh. Thầy biết tiếng Anh, tiếng Pháp, tiếng Đức, và đương nhiên, tiếng Việt.

Thầy kể cách chửi cũng cho thấy văn hóa một cộng đồng.

Người Anh trọng lý trí nên ghét ai thì chửi stupid, nghĩa là Ngu Ngốc.

Hoàng Hải Vân - Lễ và vô lễ

 

“Tiên học lễ hậu học văn”, cái slogan học đường đó đang bị thiên hạ lôi ra, một bên bảo bỏ, một bên bảo không.

Nhớ lại, có lẽ đó là sáu chữ tôi đọc được trong ngày đầu tiên đến trường sau khi học xong lớp vỡ lòng tại nhà anh họ tôi. Sáu chữ đó tôi nhớ suốt đời, mỗi khi nhẩm lại chỉ thấy vô cùng dễ chịu, chẳng có chút gì gọi là bị câu thúc trong “lễ giáo phong kiến” cả.

Dù từ nguyên của chữ “Lễ” là như thế nào, dù nó được người xưa dùng với nghĩa đen nghĩa bóng cách điệu như thế nào, thì đối với dân ta nó vẫn là một chữ chỉ mang ý nghĩa đẹp đẽ : là lễ phép, là lòng biết ơn, là sự khiêm nhường, là đạo làm người. Vua chúa biết lễ sẽ bớt đi sự ngạo mạn, dân thường biết lễ sẽ sống với nhau thuận hòa tử tế.

Giặc Mỹ cọp beo!

 

NguyễnĐình Bổn - Giặc Mỹ cọp beo!

- Đỗ Thị Hà mang đến Miss World tiết mục đánh đàn T'rưng với nhạc phẩm Cô gái vót chông. Đề nghị ban tổ chức dịch cả phần lời bài hát này với phần điệp khúc: "Còn giặc Mỹ cọp beo, khi còn giặc Mỹ cọp beo,... chờ bọn bây, diệt bọn bây..." để quan khách thế giới thưởng lãm!

- Trong khi đó bọn giặc Mỹ cọp beo đã tặng cho đất nước cô Hà 20,5 triệu liều vaccin, và tôi tin cô này đã lụi 2 mũi của bọn beo cọp này!

Đỗ Duy Ngọc - Chặt cây

 

Chỉ cần một cây cổ thụ cả trăm năm trốc gốc, người ta lại chặt cây của một con đường. Có lẽ trên thế giới, kể cả các nước lạc hậu, người ta cũng không bao giờ xử sự như thế. Đó là quan niệm không quản được thì diệt. Một lối tư duy kỳ lạ và hiếm thấy.

Đấy là trường hợp hàng cây lâu năm ở đường Nguyễn Bỉnh Khiêm đang bị xử lý gây tiếc nuối trong lòng dân Sài Gòn. Nhất là những người có nhiều kỷ niệm với hàng cây trên con đường này. Đó là một trong mấy con đường đẹp của Sài Gòn còn sót lại sau những chiến dịch triệt hạ những cổ thụ của thành phố.

Một con đường Tôn Đức Thắng (Cường Để) đẹp như tranh mất hàng trăm năm mới có được đã từng bị chặt hạ, san phẳng. Và giờ đến Nguyễn Bỉnh Khiêm. Con đường đã từng đi vào văn học, nghệ thuật với tà áo dài Trưng Vương, với khung trời nhiều kỷ niệm của những chàng học sinh trường Võ Trường Toản một thời.

Nguyễn Thông - Đảng tiêu tiền

 

Hôm qua 27.11, các báo quốc doanh mậu dịch rầm rộ đưa tin triều đình đảng tổ chức buổi lễ cực kỳ trọng thể để trao quyết định... nghỉ hưu cho mấy ông bà "nguyên ủy viên bộ chính trị, ban bí thư". Trước đó vài hôm, họ cũng làm động tác ấy với mấy ông "nguyên ủy viên bộ chính trị".

Sự màu mè, đỏ loẹt, cờ đèn kèn trống, tặng cho nhau những lời có cánh là một chuyện. Vấn đề còn ở chỗ họ tiêu tiền của dân của nước vào những việc riêng họ, dân nước chẳng được chút lợi lộc gì, thậm chí chỉ có thiệt.

Giành quyền lãnh đạo tức là đã giành được biết bao quyền lợi cho tổ chức mình, cho thành viên tổ chức mình. Thôi thì lúc họ đang "phục vụ đất nước, phục vụ nhân dân" đã đi một nhẽ. Dân rộng lòng chấp nhận họ xài tiền, chả đến mức ke re két rét, đo lọ nước mắm đếm củ dưa hành. Nhưng theo luật tự nhiên, hết tuổi thì nghỉ thì về, gọi là hưu. Ai cũng vậy.

Chương trình phát thanh RFI ngày 28.11.2021


 

samedi 27 novembre 2021

Ngô Đình Thẩm – Thư gửi chú Nguyễn Xuân Diện và các nhân sĩ trí thức vì đất nước

 

Xin chào chú Nguyễn Xuân Diện,

Cháu chính là người thanh niên ở Sài Gòn đã cầm tấm biểu ngữ phản đối Trung Quốc xâm lược lãnh hải Việt Nam và đứng bất động hướng về Lãnh sự quán Trung Quốc ở góc ngã tư đường Phạm Ngọc Thạch – Nguyễn Thị Minh Khai buổi trưa ngày Chủ Nhật 05 tháng 06 năm 2011 vừa rồi.

Trước tiên, cháu xin lỗi chú vì sẽ không nói rõ danh tánh, tên tuổi của mình khi viết thư này gửi chú. Hy vọng là qua cách xưng hô, chú hiểu rằng cháu hoàn toàn tôn trọng chú một cách đúng mực.

Và sở dĩ cháu không nêu tên tuổi của mình chỉ là để muốn tất cả mọi người (kể cả các nhân viên an ninh, công an đã làm việc với cháu) hiểu rằng cháu đã đi biểu tình chống Trung Quốc xâm lược và đã làm một hành động “không giống ai” đó không phải để gây tiếng vang hay tạo dấu ấn cá nhân gì cả như một số nhân viên an ninh đã cho là như thế.

Thương tiếc người thanh niên yêu nước Ngô Đình Thẩm

 

Hoàng Dũng : Tháng 6/2011, nhiều cuộc biểu tình chống Trung Cộng đã nổ ra tại Hà Nội và Sài Gòn. Lúc ấy, chỉ cần tàu bè Trung Cộng xâm lấn lãnh hải, cắt cáp hay xua đuổi tàu cá Việt Nam là đủ cho người dân xuống đường biểu tình.

Chàng thanh niên này, Ngô Đình Thẩm, lúc ấy mới chỉ 25 tuổi - đã đứng bất động vài giờ liền, cầm biểu ngữ nội dung phản đối Trung Quốc xâm lấn lãnh hải.

Hình ảnh cậu ấy là một trong những thôi thúc để một năm sau đó tôi dẹp bỏ chuyện làm ăn, trở thành một người hoạt động xã hội.

Trần Văn Thọ - Chữ Lễ của hai thủ tướng Nhật Bản

 

Mấy hôm nay ở Việt Nam bàn nhiều về câu “Tiên học lễ hậu học văn”, một phương châm góp phần rèn luyện nhân cách của học sinh. Câu này rất hay, sao phải bàn tán nhiều.

Thời tôi học tiểu học và trung học ở miền Nam trước năm 1975 cũng có câu ấy viết trên tường, phía trên bảng đen để học sinh ngày nào cũng nhìn thấy. Đối với học sinh cấp thấp như ở bậc tiểu học thì Lễ chỉ là lễ phép với người trên, nhưng dần dần học lên các bậc trên thì Lễ đượ hiểu rộng hơn, bao gồm cả lễ độ, lịch sự, có văn hóa trong giao tiếp.

Từ thời đi học đã thấm nhập vào máu thịt chữ lễ như vậy thì khi lớn lên, ra ngoài xã hội, chữ Lễ sẽ xuất hiện một cách tự nhiên khi giao tiếp với người khác.

Hoàng Tuấn Công - « Học lễ » có phải là học « thừa hành », « phục tùng » người trên ?

 

Giáo sư Trần Ngọc Thêm cho rằng, phải bỏ câu khẩu hiệu “Tiên học lễ, hậu học văn”, vì đây là “sản phẩm của nền giáo dục Nho giáo, phục vụ cho mục tiêu đào tạo người thừa hành, coi việc đòi hỏi người dưới phải phục tùng và giữ "lễ" với người trên là yêu cầu số 1”.

Vậy có đúng trong thực tế, “học lễ” trong “Tiên học lễ, hậu học văn” được hiểu là học “thừa hành”, “phục tùng” người trên không?

Chúng ta thử tra từ điển xem sao:

Bông Lau - Mỹ đế xâm lược văn hóa

 

Cái này hỏng phải xâm lăng bằng súng đạn mà bằng văn hóa.

Người Mỹ đã từng hiện diện ở Nam Việt Nam 20 năm. Có thời gian lên hơn nửa triệu lính Mỹ và nhân viên dân chính, trên một mảnh đất miền Nam nhỏ bé và dân số chỉ khoảng trên 20 triệu người. Tức là người Mỹ thời gian đó ở khắp hang cùng ngõ cụt ở Nam Việt Nam.

Vậy mà dân Việt khi ấy ít biết ngày lễ Tạ Ơn Thanksgiving gì. Giờ đây người Mỹ đã ra đi khỏi miền Nam gần nửa thế kỷ qua, nhưng hỏng biết tại sao cái văn hóa Lễ Tạ Ơn Thanksgiving, lễ Halloween cho nhi đồng, lễ Valentine cho tình yêu trai gái v.v… tràn ngập xứ thiên đường Cộng Sản, hầu như ai cũng biết.

Văn Công Hùng - "Tiên học lễ, hậu học văn", câu khẩu hiệu có cần phải bỏ?

 

(DV 27/11/2021) Lễ chính là cái níu con người ở lại phía trong sáng, nó khiến con người nhận biết phải trái, biết xử lý tình huống một cách vừa nhân nghĩa vừa nhân văn, cao thượng, hợp lý hợp tình.

Đang có những cuộc tranh cãi, đến nặng lời, trên báo và nhất là mạng, về đề xuất của giáo sư tiến sĩ khoa học Trần Ngọc Thêm, bỏ câu "Tiên học Lễ hậu học Văn" trong trường học.

Thực ra thì, các khẩu hiệu nói chung, và trong trường học nói riêng, vẫn thường xuyên thay đổi theo từng giai đoạn. Nếu ai theo dõi thì thấy nước ta đã qua khá nhiều khẩu hiệu, có "Tất cả vì học sinh thân yêu", "Thi đua dạy tốt học tốt" và giờ thì đang là "Tiên học lễ hậu học văn" vân vân...

Lê Thị Anh Thư - Không thể bình thường

 

Số ca F0 gọi đến điện thoại của tôi những ngày này lại dồn dập. Chúng tôi đang lo lắng, Giáng sinh và năm mới này có thể không yên ả.

Chúng tôi, những bác sĩ tham gia tổng đài tư vấn bệnh nhân F0 của Sở Y tế thành phố Hồ Chí Minh đã tưởng sẽ được giảm bớt áp lực công việc từ khi cả nước bước sang "bình thường mới". Nhưng hai tuần nay, các cuộc gọi đến cứ tăng lên. Vẫn những câu hỏi tôi đã trả lời suốt mấy tháng: "Bác sĩ ơi, em test Covid bị hai vạch rồi", "Sao em chích hai mũi rồi mà vẫn dương tính hở bác sĩ?", "Cả nhà em lại dương tính hết rồi, em lo quá!".

Đa phần các ca F0 mới đều đã được tiêm hai mũi vaccin, triệu chứng có phần nhẹ hơn. Bệnh nhân của tôi thường mô tả chỉ sốt nhẹ, ho, sổ mũi như cảm cúm thông thường. Nhưng vẫn có một số có bệnh nền, lớn tuổi và diễn tiến nặng.

Lưu Nhi Dũ - Đợt dịch Covid đang bùng phát, biến thể B.1.1.529 làm thế giới kinh ngạc!


1. Có vẻ như đợt dịch Covid-19 lần thứ 5 đang bắt đầu ở nước ta khi số lượng F0 tăng nhanh, các bệnh viện điều trị F0 kín giường.

Theo thông tin từ Sở Y tế thành phố Hồ Chí Minh, trong 5 ngày tính từ 22/11, có 7.140 F0 nhập viện, trong khi số ra viện là 4.749. Số ca nhập viện có xu hướng tăng từng ngày. Hiện các bệnh viện TP HCM đang điều trị hơn 14.000 F0.

Tuy nhiên số F0 nằm viện vẫn đang thấp hơn nhiều so với giai đoạn cao điểm (hồi cuối tháng Tám hơn 40.000 F0 nằm viện). Nhưng có số liệu đáng quan tâm là có hơn 80.000 F0 ở thành phố Hồ Chí Minh đang cách ly điều trị tại nhà.

Chương trình phát thanh RFI ngày 27.11.2021


 

Trung Quốc, đất nước sản xuất ra những con ma

 

(Dorian Malovic, LaCroix 26/11/2021) Vụ mất tích suốt 18 ngày của ngôi sao quần vợt Trung Quốc Bành Súy (Peng Shuai) và sự tái xuất của cô do chính quyền tổ chức đã đưa ra ánh sáng phương pháp cổ điển của chế độ Bắc Kinh : tống khứ những « kẻ gây rắc rối » bằng cách làm cho họ bốc hơi. Là người nổi tiếng hay vô danh, hàng trăm người Hoa, Tây Tạng hay Duy Ngô Nhĩ đã bị xóa khỏi ký ức trong những năm gần đây.

Bành Súy còn sống nhưng không hề được tự do. Hôm 02/11, khi tố cáo một quan chức rất cao cấp của đảng Cộng sản đã hãm hiếp mình, ngôi sao quần vợt Trung Quốc đã khởi động một tiến trình dữ dội tại Trung Quốc và trên thế giới.

vendredi 26 novembre 2021

Đàm Hà Phú - Cái tình người Kinh


A Mua và A Vàng là hai anh em ruột, nhà có bốn anh em thì hai gái hai trai. Hai chị gái đã lấy chồng, đẻ con và sống ở bản, một bản làng miền núi xa xôi ngoài Bắc, tận Yên Bái.

Cách đây hai năm thì cả nhà A Mua và A Vàng chưa chưa từng đặt chân xuống phố, chỗ xa nhứt họ từng đến là cái chợ xã. Họ sống trên núi cao, như con dê con ngựa ; họ trổ bắp, trồng nương, đi rừng, nuôi gà nuôi lợn và ủ rượu uống. Cuộc sống vui cho đến ngày mẹ chúng bị ốm nặng.

Cả A Mua và A Vàng lên bệnh viện huyện thay nhau nuôi mẹ, bao nhiêu tiền dành dụm gà lợn bán sạch để thuốc thang cho mẹ chúng. Đến khi mẹ chúng trở về bản thì nhà cửa cũng không còn gì, mà cứ ba tháng lại phải xuống huyện điều trị một lần, cả nhà lo lắm. Một hôm A Vàng đọc được một tin tuyển dụng công nhân, ở tận miền Nam. Miền Nam xa cỡ nào nó đâu có biết, nó rủ A Mua cùng đi.

Nguyễn Văn Tuấn - Các bệnh viện lớn ở Việt Nam, nơi lý tưởng để lập viện nghiên cứu y khoa

Hôm qua tôi có dịp về Việt Nam. Chỉ về qua zoom thôi. Tôi về Bệnh viện Bạch Mai qua loạt bài giảng về nghiên cứu lâm sàng. Đây là lần thứ ba tôi ghé Bạch Mai, nhưng là lần đặc biệt.

Lớp học có đến hơn 620 người tham dự từ mọi miền đất nước. Vì zoom của bệnh viện có tải lượng cho 300 người thôi, nên các học viên khác phải dùng đường truyền riêng. Ban tổ chức cho biết vì nghe tôi nói chuyện nên các bạn ấy ghi danh tham dự.

Tôi rất cảm kích tấm thịnh tình các bạn dành cho tôi. Tôi hứa là sẽ chia sẻ hết mình những trải nghiệm cá nhân trong các vai trò như investigator, scientist, expert reviewer, editor, và cả research director.

Hoàng Nguyên Vũ - Duy Phương và Thương Tín: Cùng ngã xuống nhưng khác nhau cách đứng dậy!

 

Cũng là nghệ sĩ có tiếng, cũng là những người đàn ông chơi bời phá phách chẳng kém cạnh gì cái tiếng tăm nghệ thuật, mới đây cũng từng “xin tiền” và bị dư luận chỉ trích dữ dội. Nhưng cách đứng dậy của nghệ sĩ Duy Phương và Thương Tín khác nhau hoàn toàn, gần như là đối nghịch.

Thương Tín sau cú phát bệnh rùm beng báo chí, ôm cả cái ô tô cùng mấy trăm triệu, láo liên liến thoắng về nhà cách Sài Gòn hàng trăm cây số.

Nhiều người không đặt niềm tin rằng Thương Tín sẽ sống có trách nhiệm với bản thân, người thân và tình cảm mọi người dành cho anh hơn sau lần này. Vì cũng đã nhiều phen, lắm bận với không ít những sai phạm. Mà sai phạm nào cũng nặng đô.

Nguyễn Thông - Liệu có “ngày đàng sàng khôn”? (1)

 

Ông bà ta có câu “đi một ngày đàng, học một sàng khôn” để nhắc con cháu đừng có suốt ngày ru rú trong lô cốt pháo đài tự sướng với nhau đất nước chưa bao giờ thế này, chưa bao giờ thế nọ.

Đi cho thêm khôn bớt lú, mở con mắt nhìn cái hay của thiên hạ mà học hỏi, “đi cho biết đó biết đây/ở nhà với mẹ biết ngày nào khôn”.

Đi với mục đích vậy, chứ không phải để khoe khoang hoặc xin xỏ, kiểu như chúng ta thay phiên nhau canh giữ hòa bình thế giới, kiểu như ngoại giao vác rá thời xưa. Mở rộng quan hệ làm ăn là một chuyện, mà quan trọng nhìn thấy người ta thế nào rồi về mà sửa mình.

Lê Học Lãnh Vân - Truyền thống « tiên học lễ » và tư duy phản biện

 

Là người ưa chuộng hoạt động thảo luận trong xã hội, tôi theo dõi tham luận của giáo sư Trần Ngọc Thêm tại hội thảo “Văn hóa học đường trong bối cảnh đổi mới giáo dục-đào tạo” với tinh thần lắng nghe, học hỏi.

Bài viết này xin thảo luận với ông và với những người quan tâm về quan điểm của ông rằng khi học Lễ con người sẽ trở nên thụ động, mất tư duy phản biện. Cũng như ông Trần Ngọc Thêm, tôi rất xem trọng tư duy phản biện vốn là một thuộc tính thường thấy của con người tự do, chủ động, sáng tạo. Bài viết không đề cập tới việc giữ hay bỏ quan điểm “Tiên Học Lễ, Hậu Học Văn” mà chỉ bàn về mối quan hệ của quan điểm này với tư duy phản biện.

Học tiểu học, trung học tại Miền Nam (tức tương đương ba cấp phổ thông hiện nay), tôi quen thuộc với quan niệm Tiên Học Lễ, Hậu Học Văn mà khẩu hiệu được khắc hay treo trang trọng tại trường học dưới chế độ Việt Nam Cộng Hòa.

Nguyễn Một - Lễ là kính trên nhường dưới !

 

Mấy hôm nay cộng đồng xôn xao về việc GS Trần Ngọc Thêm đề nghị bỏ khẩu hiệu “tiên học lễ hậu học văn”. Tôi nghĩ “khẩu hiệu” có hay không chẳng quan trọng gì, quan trọng là con người có thực hiện đúng “nội hàm” của chữ “lễ’’ trong cuộc sống không, nên tôi chỉ kể một chuyện tiếu lâm cho vui trên Facebook thôi.

Hôm qua, một học trò cũ nhắn tin: “Thầy đọc bài trả lời của GS trên Tuổi Trẻ và thấy hãy viết gì đi ạ!” Tôi vào đọc bài phỏng vấn giáo sư tôi mới giật mình. Ông nói:

“Bởi vì khẩu hiệu "Tiên học lễ, hậu học văn" là sản phẩm của nền giáo dục Nho giáo, phục vụ cho mục tiêu đào tạo người thừa hành, coi việc đòi hỏi người dưới phải phục tùng và giữ "lễ" với người trên là yêu cầu số 1.

Trần Quang Vũ - Lễ cả đời, văn từng chặng

 

Nội hàm văn và lễ thay đổi theo thời đại.

Học chuyên toán là văn; Học kỹ nghệ là học văn; Học luật là học văn; Học hậu bổ cũng là học văn... Học văn, tức là học tất cả những thứ tạo kỹ năng làm việc, kỹ năng sống. Học từng chặng.

Học lễ là học cách ứng xử phù hợp với đạo lý, học làm người. Đạo làm người, có cái kéo dài suốt lịch sử loài người, ấy là lòng trắc ẩn, là lòng nhân đạo... và có cái chỉ tồn tại trong một không gian, một thời gian nhất định. Vi phạm nó là vô đạo.

Lê Huyền Ái Mỹ - Dưới hàng cây

 

Hàng cổ thụ trên đường Nguyễn Bỉnh Khiêm đã bị đốn hạ vào trưa nay, 26.11.

Trên báo Pháp luật TP HCM, ông Vũ Văn Điệp, Giám đốc Trung tâm Quản lý hạ tầng kỹ thuật TP.HCM nói: “Việc đốn hạ cây ở trục đường Nguyễn Bỉnh Khiêm không phải phục vụ dự án nào mà từ việc thời gian qua có cây ở trục đường này bật gốc vào Thảo Cầm Viên gây nguy hiểm. Việc đốn cây là trong kế hoạch rà soát xử lý cây xanh gây mất an toàn vẫn thường làm".

Vẫn biết bảo vệ tính mạng người là trên hết. Nhưng…

Chương trình phát thanh RFI ngày 26.11.2021

jeudi 25 novembre 2021

Huy Đức - Phần có thể cấu thành văn hóa

 

Bằng cách đứng trên bục phát biểu hơn một giờ liền, trong đó có nhiều đoạn phát biểu tay vo, tôi nghĩ, ngoài những thông điệp về “văn hóa”, TBT Nguyễn Phú Trọng còn muốn gửi đi thông điệp về… “y tế”.

Không hiểu tại sao “Cụ Tổng” lại không sử dụng một cây gậy, thậm chí nếu phải di chuyển vài chục mét, tại sao “Cụ” không sử dụng xe lăn. “Sức khỏe lãnh đạo” là khả năng nhớ được “Chân Quê” chứ “chân cẳng” thì “bảy mươi xưa nay…” ai mà biết trước.

Tôi là một người hoạt động thực tiễn, nên ít khi để tâm nghiên cứu về văn hóa dưới góc độ lý luận. Và, cũng không thật sự hiểu khái niệm dân tộc mà các nhà lãnh đạo ta thường nói là riêng về người Kinh hay quốc gia Việt Nam. Chỉ đôi khi suy ngẫm về những giá trị mà sách vở của chúng ta đang tôn vinh và việc tôn vinh đó đã và đang ảnh hưởng thế nào tới số phận quốc gia, dân tộc.

Nguyễn Văn Tuấn - Chuyện vaccin Verocell và biến thể Delta tự hủy


Hôm qua rộ lên bản tin về hai người ở Thanh Hóa tử vong sau khi tiêm vaccin Tàu. Không thể kết luận gì được về nguyên nhân và hậu quả ở đây. Tuy nhiên, nếu xem xét trong bối cảnh chung, thì công chúng có lý do quan tâm đến hiệu lực và an toàn của vaccin Tàu.

Hôm trước, sau khi điểm qua hiệu lực của vaccin Tàu ở Bahrain tôi có đề nghị là nên tiêm liều 3 (AstraZeneca hay Pfizer) cho những người đã tiêm 2 liều vaccin Tàu. Hôm nay, báo PLO cũng có đi một bản tin với đề nghị như thế. Tôi nghĩ các giới chức y tế nên xem xét khuyến cáo này một cách nghiêm chỉnh.

Điều đáng nói là Nhà nước triển khai tiêm chủng vaccin cho cả 90 triệu người hơn 9 tháng qua, mà cho đến nay vẫn chưa có bất cứ một dữ liệu nào về hiệu lực của vaccin. Chẳng có dữ liệu về an toàn và biến chứng. Tất cả chỉ là dựa vào dữ liệu ở nước ngoài. Chữ thì nhiều, số thì ít.

Hoàng Linh - Ba người mẹ sau tiêm

Cập nhật : Bệnh nhân thứ tư do tiêm vaccin Vero Cell ở công ty giày Kim Việt đã tử vong chiều 25/11/2021.

Hai nữ công nhân tử vong sau tiêm vaccin Vero Cell vào hôm qua, đó là tin gây sốc cho nhiều người.

Còn với gia đình hai nữ công nhân này thì sao?

Sáng nay thêm một nữ công nhân nữa cùng đợt tiêm bị chết.

Nguyễn Thông - Mắc mưu Tàu ?

 

Đã hé ra những hệ lụy từ vắc-Tàu (sau vụ ở Sài Gòn phải chích mũi 3 bằng loại vắc xin khác cho người đã bị chích 2 mũi Tàu, và vụ chết người ở Nông Cống tỉnh Thanh).

Nếu sau này mà phát hiện ra vắc-Tàu là thứ đồ rởm (vô tác dụng), thậm chí chỉ có hại (gây chết người).

Thì cần lập tòa án nhân dân, lôi cổ những đứa đem hàng tàu về nằng nặc một mực dọa dẫm ép dân tiêm chích, lừa đảo "vắc xin tốt nhất là vắc xin tiêm sớm nhất". Và cả những đứa làm báo nịnh tà quyền, hoặc ngu muội, hoặc ăn tiền; lôi tất ra xử.

Mạnh Kim - Giáo sư Thêm (người đề xuất bỏ “Tiên học lễ…”): Ông “bớt” lại giùm chút!

 

“Những cái đầu” của hệ thống giáo dục Việt Nam, chính xác hơn là nền giáo dục xã hội chủ nghĩa của một nước Việt Nam cộng sản, vốn dĩ đã chẳng ra thể thống gì. Không có gì đáng làm hơn là việc chặt béng những cái đầu như vậy.

Một trong những cái đầu của hệ thống giáo dục mục rữa ấy vừa đề nghị bỏ đi khái niệm “tiên học lễ” của truyền thống giáo dục Việt Nam có từ thời “tiền cộng sản”.

Học sinh Việt Nam Cộng Hòa chẳng ai không nhớ câu “Tiên học lễ, Hậu học văn”. Đời này qua đời kia, cho dù có những giai đoạn không phải lúc nào “Tiên học lễ, Hậu học văn” cũng được thực hành nghiêm cẩn, nhưng bất luận ra sao thì “Tiên học lễ, Hậu học văn” cũng là một nhắc nhở quý giá và đáng khắc tâm đối với các thế hệ học trò.

Đỗ Duy Ngọc - Bệnh viện dã chiến thành phố Hồ Chí Minh lại kín bệnh nhân

 

Nếu không có biện pháp ngăn chận, nguy cơ tái bùng phát dịch bệnh ở thành phố là có thể xảy ra.

Từ đây đến cuối năm 2021 tình hình dịch rất phức tạp. Giáng Sinh, Năm mới rồi Tết Nguyên Đán là dịp để tụ họp ăn chơi, thăm viếng, mua bán, đi đây đi đó, cũng là thời điểm dịch bệnh dễ lan tràn.

Thời tiết cuối năm cũng thuận tiện cho virus tấn công. Sau thời gian dài giãn cách, phong tỏa, nên khi mở cửa mọi người dễ chủ quan. Đồng thời thành phố đã tiêm chủng hầu hết người dân, khiến mang tâm lý thiếu cảnh giác.

Hoàng Nguyên Vũ - Chủ quan trước vaccin dỏm cũng nguy không kém dịch bệnh

 

Hôm nay, sự cố tiêm vaccin khiến 3 người tử vong đã gọi tên vaccin ra, đó là vero cell.

Mình thì nghĩ loại vaccin nào cũng có thể gây biến chứng y khoa ở một tỉ lệ nào đó; đặc biệt với những người huyết áp quá cao hay những bệnh nền trầm trọng nào đó.

Ba người là con số công bố vì rùm beng trên truyền thông, chứ thông tin nghe nơi này nơi nọ, trước giờ cũng đã có nghe rồi.

Nguyễn Như Phong - "Tường thuật" từ một trung tâm cách ly F0 tại Hà Nội

 

Đang sốt ruột vì có ông cháu là sĩ quan cấp tá của một tờ báo Công an bị dính F0 phải đi cách ly ở trại gần Đền Lừ...Mấy ngày rồi, chả hiểu nó sống chết ra sao thì may quá, anh chàng gọi điện thoại về và "Chát video" hẳn hoi.

Nó than thở rằng lo lắm, lo lắm...

Thì bị F0 ai mà chả lo? Nhưng hóa ra không phải.

Lưu Trọng Văn - Văn hóa là ánh sáng soi đường còn xa, hãy là trụ cột đúng nghĩa đã

 

Tối qua gã phải cố gắng đọc toàn văn bài phát biểu nối dài hệ lý luận của TBT Nguyễn Phú Trọng. Gã thú thật khó mà nhớ được điều gì cốt lõi ngoài câu nói của cụ Hồ mà ông Trọng nhắc lại: « Văn hóa phải soi đường cho quốc dân đi ».

Là học trò của cụ Hồ, ông Trọng thay vì dài dòng cố gắng hoàn chỉnh hệ lý luận - khẳng định tầm lãnh tụ của mình - ông triển khai câu nói chỉ dẫn của cụ Hồ "Văn hóa soi đường cho quốc dân đi" (trong quốc dân ấy có cá nhân ông và đảng của ông) theo ông hiểu và cần làm như thế nào, thi sẽ ngắn gọn khúc triết, Dân chúng dễ cảm nhận hơn.

Thực ra không dễ gì có được lãnh đạo một quốc gia trên thế giới có tầm coi văn hóa là Ánh sáng soi đường cho quốc gia. Ngay cụ Hồ nhận ra chân lý ấy nhưng cụ cũng chưa thể thực hiện được. Còn Mao thì làm ngược lại với Cách mạng Văn hóa, hủy diệt Văn hóa dân tộc, đẩy hàng chục triệu trí thức văn hóa đi cải tạo và hành hạ đến chết.

Chương trình phát thanh RFI ngày 25.11.2021

Nguyễn Viên - Chút cảm nghĩ về « cuộc sống bình thường mới » và vaccin

 

Nhiều người dân vẫn chưa hiểu: Trở về cuộc sống “bình thường mới” không có nghĩa là từ bỏ 5K, mà vì đòi hỏi SỐNG CÒN của NỀN KINH TẾ.

Chớ không phải tình trạng dịch bệnh đã trở về “Zero ca” như thời điểm một năm trước - khi Việt Nam đã đi theo chiến lược be bờ chống dịch rất hiệu quả, nhưng cũng ảnh hưởng nhiều đến kinh tế, nhất là du lịch.

Biến chủng Delta, cùng với việc để sổng virus Sars-CoV-2 sâu rộng vào cộng đồng buộc Việt Nam phải thay đổi hoàn toàn chiến lược “đặc thù” trước đó (Chỉ có vài nước như Việt Nam, Trung Quốc, Cuba, Triều Tiên... làm được).

Nguyễn Một - Một liên tưởng kỳ quái !


Sáng nay lướt báo thấy nhiều bài đăng chuyện một người từng là diễn viên điện ảnh nổi tiếng, than khóc chuyện “nghèo khổ vợ con bỏ đi”. Đây không phải lần đầu, trước đây sau khi kể khổ anh đã được giúp đỡ nhiều lần với số tiền bằng cả gia tài của người khác.

Tôi nhớ trong bút ký có tựa “Số phận hình tam giác, quẻ vị tế và một con người” tôi mở đầu:

“Những tháng năm cơ cực của thời điểm đất nước sau 1975, trôi qua chậm chạp trên vùng đất bán cao nguyên Long Khánh. Những vết thương chiến tranh băm nát bộ mặt tỉnh lỵ nhỏ bé này.

Võ Xuân Sơn - Thuốc không phải là kẹo


Đọc tiểu thuyết kiếm hiệp Kim Dung, có câu chuyện anh chàng kia trúng độc, thấy mình không sống được, nên quyết định tự tử. Anh ta ăn một loại lá cực độc, không ngờ, đó lại chính là thuốc giải cho cái thuốc độc mà anh ấy bị trúng. Thế là anh ấy không những không chết, mà còn hết bệnh.

Có thể nói, đa phần các loại thuốc của chúng ta đều là thuốc độc. Nó có thể tốt ở liều lượng này, tốt khi dùng cách này, nhưng lại có thể là rất độc, thậm chí gây chết người, khi dùng theo cách khác, hoặc dùng với liều lượng khác, hoặc kể cả thời điểm dùng thuốc cũng vậy.

Thuốc không phải là kẹo, nó là con dao hai lưỡi. Nếu dùng đúng cách thì nó cứu giúp chúng ta, nếu dùng sai cách, thì nó gây hại cho chúng ta.

mercredi 24 novembre 2021

Đỗ Duy Ngọc - Những con số đáng lo ngại, cần phải có câu trả lời thỏa đáng của khoa học

 

Sau một thời gian dài gần hai tháng mở cửa để có cuộc sống "Bình thường mới", điều lo ngại là con số người nhiễm bệnh vẫn là con số ngàn trong một ngày.

Đó là con số khi không còn xét nghiệm trên diện rộng như thời gian trước. Nếu vẫn chọc ngoáy, con số sẽ nhiều gấp mấy lần. Điều đó cho thấy dịch bệnh vẫn còn rất phức tạp và nếu không có biện pháp, cơn bùng dịch tiếp theo có thể xảy ra. Và lãnh đạo nhà nước cũng đã từng xác nhận như thế.

Vấn đề đáng lo ngại nhất hiện nay là số người đã chích ngừa nhiễm bệnh rất cao. Thành phố không công bố con số thống kê này, tuy nhiên như báo hôm nay đưa tin ở Bình Dương, hơn 80% số ca F0 mới phải nhập viện là người đã tiêm vaccin từ 1 đến 2 mũi, trong đó nhiều trường hợp tử vong.

Nguyễn Thông - Văn hóa (1)


Hôm nay 24.11, nhà cai trị xứ này tổ chức hội nghị văn hóa toàn quốc. Sau 73 năm kể từ hội nghị lần thứ 2 (năm 1948) giờ mới chú ý tới văn hóa, kể ra khí lâu, hèn gì văn hóa xuống cấp thảm hại.

Văn hóa là khái niệm rất rộng, chứ không phải chỉ là hát hò, thơ phú, phim ảnh, kịch cọt, nhảy nhót... Nhưng nó rất hẹp bởi chỉ gắn với con người. Chưa ai nói văn hóa của lợn, của cừu bao giờ cả. Người chỉ khác con lợn ở chỗ có văn hóa. Còn người mà không có văn hóa thì chưa bằng con lợn.

Bàn về văn hóa, có ngồi với nhau cả tháng cũng chả nói được một góc, nên để khi khác, tranh cãi sau.

Lưu Trọng Văn - Số phận khác biệt của 15 ủy viên Ủy ban Văn hóa đầu tiên

 

Bảy mươi lăm năm trước, vào ngày 24.11.1946 cụ Hồ khai mạc Hội nghị Văn hóa toàn quốc lần thứ nhất.

Cụ nói: “Tôi mong chúng ta đem văn hóa lãnh đạo quốc dân để thực hiện độc lập, tự cường và tự chủ”. Cụ nhấn mạnh: "Văn hóa phải soi đường cho quốc dân đi”.

Tiếng vỗ tay vang rền, trong đó vỗ nồng nhiệt nhất có lẽ là 15 ủy viên Ủy ban Văn hóa toàn quốc.

Lê Huyền Ái Mỹ - Nghĩ vụn về "chấn hưng văn hóa"

 

Hội nghị Văn hóa toàn quốc 2021 vừa bế mạc. Trên báo Tuổi Trẻ, Phó thủ tướng Vũ Đức Đam nói: “Hạnh phúc không phải chỉ là nhiều tiền lắm của”.

Đúng và đúng nhất với người đã, đang có lắm của nhiều tiền. Còn với người nghèo, chạy ăn từng bữa, nhà cửa đi thuê thì hạnh phúc đầu tiên là tiền đâu. Họ chỉ cần không phải lo sợ, hồi hộp tiền chợ, tiền trọ, tiền học cho con cái là ngất ngây ngút ngàn!

Báo “trẻ tuổi” cũng rút tựa: “Chấn hưng văn hóa, động lực thúc đẩy phát triển kinh tế-xã hội”.

Trần Phi Tuấn - Thích ứng trong sợ hãi

 

Đã hơn một tháng Việt Nam chuyển sang giai đoạn “thích ứng”, nhưng có vẻ như nỗi sợ hãi về các ca nhiễm vẫn chưa thể biến mất.

Sài Gòn hiện có hơn 77.000 ca nhiễm, trong đó hơn 56.000 ca ở nhà tự điều trị, gần 14.000 ca phải vào viện, và số còn lại cách ly ở các cơ sở tập trung. Điểm giới hạn mà hệ thống y tế của thành phố có thể chịu đựng cùng một lúc: 120.000 ca.

Cách ứng phó đã thích ứng hơn: ai nhiễm thì tự điều trị ở nhà, có tư vấn và giám sát của các bác sĩ, thuộc cấp độ trạm y tế của các phường xã.

Chương trình phát thanh RFI ngày 24.11.2021

mardi 23 novembre 2021

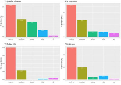
Nguyễn Văn Tuấn - Hiệu lực vaccin Sinopharm ở Bahrain và ý nghĩa cho Việt Nam

 

Sự gia tăng số ca dương tính ở Việt Nam và nhiều nơi trên thế giới đặt ra câu hỏi về hiệu nghiệm của vaccin. Kết quả nghiên cứu ở Bahrain cho chúng ta biết rằng vaccin Sinopharm có hiệu lực kém nhứt so với vaccin Pfizer, AstraZeneca (AZ) và Sputnik.

Mấy tuần nay, công chúng Việt Nam hỏi tại sao những người đã tiêm vaccin mà vẫn bị nhiễm, thậm chí tử vong. Tình trạng đã tiêm vaccin mà vẫn bị nhiễm thì không quá ngạc nhiên (vì điều này đã xảy ra trong nghiên cứu), nhưng đã tiêm 2 liều vaccin mà tử vong thì đúng là đáng ngạc nhiên.

Dữ liệu về 38 ca tử vong sau khi đã tiêm 2 liều vaccin cho thấy tuyệt đại đa số (37 ca) là tiêm "vaccin khác" (chữ của báo Tuổi Trẻ), chỉ có 1 ca tiêm vaccin Pfizer (nhưng bài báo cho biết ca này có nhiều bệnh nền). "Vaccin khác" ở đây thực ra là vaccin Moderna và Verocell của Sinopharm. Vaccin Moderna thì y như Pfizer. Do đó, "vaccin khác" ở đây phải được hiểu là vaccin Sinopharm?

Võ Xuân Sơn - Liệu cơm gắp mắm

 

Ông bà ta có câu, liệu cơm gắp mắm. Tức là xem trong chén mình còn bao nhiêu cơm, để gắp thức ăn cho vừa đủ, chứ đừng phóng tay mà ăn mặn quá, lên tăng xông, đứt gân máu, không chết cũng xụi lơ.

Nhớ cái hồi nào ông Giám đốc HCDC nói, rằng nếu số F0 vượt lên trên 10.000 là quá sức chịu đựng của y tế thành phố. Mà sau đó thì đúng thế thật. Con số nhiễm mới vừa vượt qua 10.000 là vỡ trận. Chính quyền thì lúng túng. Người dân thì hoảng loạn. Từ chỗ sợ bị cách ly chuyển sang tâm trạng sợ không được vô bệnh viện. Chết quá trời.

Rất nhiều người, trong đó có cả tôi, đều đề nghị, hãy dừng việc cách ly tập trung F1, để F0 không triệu chứng hoặc triệu chứng nhẹ tại nhà. Đó là việc mà chúng ta cần làm, cần liệu sức mình để đưa ra biện pháp hiệu quả nhất, tránh thiệt hại nhất. Còn nhớ, tôi và nhiều bạn đã phân tích, nếu cứ tiếp tục cách ly F1 tập trung, thì sẽ đến lúc cả thành phố này là F1. Làm sao cách ly cho nổi.

Hương Nguyễn - Những người vắng mặt trên hè phố Sài Gòn

 

1) Hè phố Sài Gòn vào những ngày chưa có trận dịch tàn khốc vừa qua, luôn nhộn nhịp, đông vui, nhưng rất có lớp lang, thứ tự. Cứ y như rằng, đến giờ đó, tại vị trí đó, sẽ xuất hiện người đó với quầy hàng đó. Cứ đều tăm tắp mỗi ngày, nắng cũng như mưa.

Tôi đi làm, sáng đi chiều về, cũng tham gia vào cái đồng hồ sinh học trên hè phố Sài Gòn.

2) Qua gần bốn tháng, Sài Gòn đau thương tan tác. Giờ mở cửa lại. Giờ tôi được tự do đi trên con đường quen thuộc, nhưng lại thiếu một số bóng dáng quen thuộc trên vỉa hè Sài Gòn, đã từng góp thêm một nét văn hóa đáng yêu của Sài Gòn. Mỗi con người là một cảnh đời, có lúc thoáng qua, mờ nhạt trên hè phố, tồn tại bao nhiêu năm; nhưng giờ tự nhiên đồng loạt biến mất. Tự nhiên thấy hụt hẫng...

Lê Huyền Ái Mỹ - Trưa bên sông Sài Gòn

 

Những ngày Sài Gòn cứ sáng ửng nắng, trưa chiều ủ dột rồi mưa luôn cho tới tối, ngồi ngắm cái màu trời thôi cũng đủ… lười, chẳng thiết mà cũng chẳng biết viết gì.

Rồi bạn ghé nhà đón đi… café vỉa hè. Nằm dưới chân cầu Công Lý, ngay đầu con hẻm đi vô quán Huế Ngự Bình, mấy bước là quán Mười Khó. Cả nửa năm mới ngồi lại cái quán cóc.

Ngồi đây mới nhớ, những ngày tang thương hôm nào, nhắn bạn chụp cho tấm hình nhìn Sài Gòn từ trên cao. Bạn gửi qua liền mấy tấm con đường Nam Kỳ Khởi Nghĩa vàng vọt, thi thoảng những ánh đèn chấp chới chạy qua. Con hẻm xuyên qua chợ Phú Nhuận lành lạnh.